요즘 비오틴에 대한 관심이 많은 것 같습니다. 여러 많은 효능들이 있기 때문인데요 특히 탈모가 심하신 분들은 비오틴 혹은 맥주효모라는 용어를 한 번쯤은 들어보셨을 것 같아요. 그러나 비오틴에는 그 외에도 여러 효능들이 있답니다.
비오틴 효능 : 비오틴을 먹어야 하는 이유

비오틴을 먹어야 하는 이유를 몇가지 정리해 보겠습니다.
| 1. 탈모를 예방합니다. |
| 2. 손톱을 단단하게 만들어줍니다. |
| 3. 에너지를 생성해줍니다. |
| 4. 당뇨와 다이어트에 도움을 줍니다. |
비오틴은 모발에 많은 영향을 주기 때문에 <탈모 비타민>이라고도 부릅니다. 비오틴이 부족해지면 머리카락이 얇아지고 탈모를 유발하기도 합니다.
손톱 또한 모발과 같이 케라틴 단백질이 주요 성분인데요! 그래서 비오틴을 섭취할 때 손톱을 단단하고 매끄럽게 만들어주는 거죠!


비오틴은 탄수화물, 단백질, 지방을 활성화하도록 돕습니다. 즉 에너지 생성에 도움을 주는 것이죠. 혹시 쉽게 피로해지거나 우울감을 느낄 경우 비오틴이 부족한 것이 아닌지 생각해 보아도 좋습니다.
비오틴은 당뇨에도 도움이 되는데요!
그렇기에 당뇨병 환자들에게 비오틴을 처방해 주는 이유도 이에 있습니다.
우리가 알아야 할 핵심은 비오틴은 우리 몸속에서 생성되지 않는다는 것입니다.
그래서 반드시 음식을 통해서 공급을 해줘야 한다고 해요.
대두, 계란, 노른자, 땅콩, 양송이버섯, 당근, 녹색 완두콩, 해바라기씨 등등의 식품에 함유되어 있다고 해요.


그럼에도 불구하고 건강기능식품을 통해서 보충하는 이유는?
식품을 통해서 공급받는데 한계가 있기 때문이라고 해요.
그런데 뭐.. 다른 영양소들도 다 비슷한 듯합니다.
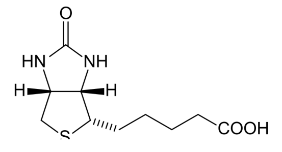
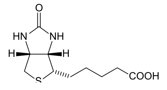
비오틴(Biotin)이란?
비오틴이 무엇인지 간단히 적어볼게요.
비오틴은 수용성 비타민이에요
3대 영양소인 지방, 탄수화물, 단백질에 많은 영향을 미친다고 해요.
에너지 생성에 필요하다고 합니다.

비오틴 하루 권장량 : 비오틴 영양제 선택 기준
한국인의 비오틴 하루 권장량은 30~35mg이라고 합니다.
그러나 두피, 모발 관리를 원하시는 분이라면 하루 권장량 500~700mg 정도 됩니다.
고함량은 조심하세요.
비오틴 영양제 선택 기준으로는
1. 유기농 원료
2. 화학첨가물 사용 여부
3. 비오틴 함량 확인
이 정도 확인해 보시면 좋을 것 같아요.



비오틴 부작용
비오틴이 지방, 탄수화물, 단백질 등 3대 영양소 활성화에 도움이 되고 에너지 생성에 필요한 성분으로 알려지면서 많은 관심을 가지고 있지만 고함량을 섭취하는 경우 여드름을 유발할 수 있고 습진, 피부염을 일으킬 수 있습니다.



'건강관리' 카테고리의 다른 글
| 프로폴리스 효능 (간단한 정리) (0) | 2024.04.18 |
|---|---|
| 류마티스 관절염 초기증상 (너무 무서운 질병인듯 해요 ㅠ ) (0) | 2024.04.01 |
| 침침한 눈, 루테인 지아잔틴 효과 (0) | 2024.03.05 |
| 캄포지아 고함량 가르시니아 체지방 감소 효과 (1) | 2024.03.04 |
| 복부비만 : 비만 예방 (0) | 2024.02.06 |